The photos you provided may be used to improve Bing image processing services.
Privacy Policy
|
Terms of Use
Can't use this link. Check that your link starts with 'http://' or 'https://' to try again.
Unable to process this search. Please try a different image or keywords.
Try Visual Search
Search, identify objects and text, translate, or solve problems using an image
Drag one or more images here,
upload an image
or
open camera
Drop images here to start your search
To use Visual Search, enable the camera in this browser
All
Search
Images
Inspiration
Create
Collections
Videos
Maps
News
More
Shopping
Flights
Travel
Notebook
Top suggestions for Impulse Formula
Momentum
Fórmula
Impulse
in Physics
Change in Momentum
Formula
Momentum Formula
Example
Angular
Impulse Formula
Impulse
Equation
As Physics
Formula Sheet
Impulse-
Momentum Theorem
Momentum Formula
with Force
Momentum Impulse
Worksheet
Impulse
Examples
Impulse
Vector
Impulse
Integral Formula
Impulse
Example Problems
Impulse Formula
Unit
Impulse-
Momentum Diagram
Momentum
Cartoon
Final Momentum
Formula
Momentum Formula
Triangle
Is Impulse
Change in Momentum
Constant Velocity
Formula
Momentum
Force-Time
Impulse
Equals
Linear Momentum
Conservation
Impulse Formula
IGCSE
Unit Impulse
Function
Momentum Units
Physics
Impulse
Collision Formula
Impulse
Definition
Impulse
Def
Impulse
a Level Physics
Impulse
Response
Impulse Formula
Calculus
Impulse
Solving
Rotational
Impulse
Angular Impulse
Dynamics
Action Potential Nerve
Impulse
Momentum
Symbol
Relativistic Momentum
Equation
Momentum
Meaning
What Is
Impulse Physics
Fluid Momentum
Equation
Angular Momentum
Principle
Nerve Impulse
Transmission
Angular Momentum Dimensional
Formula
Work and
Impulse Relationship
Impulse Formula
Momentum
Impulse
Force Formula
Momentum Formula
Physics
Equation for
Impulse Physics
Refine your search for Impulse Formula
Response
Definition
Momentum
Theorem
Physics
Grade 9
Circular
Motion
Triangle
Dimensional
Physics
Change
Momentum
Collision
Dirt
Bike
Man
Carriage
Plot
Symbol
For
Angular
Dynamics
Explore more searches like Impulse Formula
Cambridge
2
Object
FoMag
Change
For
Velocity
Displacement
Using
Mass
Aeronautics
For Constant
Force
People interested in Impulse Formula also searched for
Physics
Examples
Space
Logo
Control
Meme
Control
Graphic
Function
Graph
Logo
png
Momentum
Equation
Flash TV
Show
RollerCoaster
Control
Symbol
Momentum Real
Life Examples
DC
PFP
Physics
Illustration
Momentum
Physics
International
School
RG
Destiny
Movie
Cast
9 Movie
Cast
Scale
Graph
TV
Series
DC Teen
Titans
Beauty
Logo
Background.png
Deep
End
Deodorant
Spray
Reaction
Turbine
Shopping
Cart
Short
Film
Symbol
For
Red Logo
PNG
Face
Reveal
Force Time
Graph
Free
Fall
Flash
Suit
Art
Drawing
Young Justice
PFP
Object
Drawing
Lithium
Logo
Wave
Pattern
Flash
Rebirth
Hero
Bike
Electric
Momentum
Curve
Transmission
Physics
Example
Visuals
Spray
Fan
Art
People interested in Impulse Formula also searched for
Inertia
Velocity
Newton's Laws
of Motion
Force
Kinetic
Energy
Acceleration
Elastic
Collision
Work
Friction
Torque
Moment
of Inertia
Potential
Energy
Conservation
of Energy
Mass
Energy
Moment
Power
Speed
Motion
Pressure
Autoplay all GIFs
Change autoplay and other image settings here
Autoplay all GIFs
Flip the switch to turn them on
Autoplay GIFs
Image size
All
Small
Medium
Large
Extra large
At least... *
Customized Width
x
Customized Height
px
Please enter a number for Width and Height
Color
All
Color only
Black & white
Type
All
Photograph
Clipart
Line drawing
Animated GIF
Transparent
Layout
All
Square
Wide
Tall
People
All
Just faces
Head & shoulders
Date
All
Past 24 hours
Past week
Past month
Past year
License
All
All Creative Commons
Public domain
Free to share and use
Free to share and use commercially
Free to modify, share, and use
Free to modify, share, and use commercially
Learn more
Clear filters
SafeSearch:
Moderate
Strict
Moderate (default)
Off
Filter
Momentum
Fórmula
Impulse
in Physics
Change in Momentum
Formula
Momentum Formula
Example
Angular
Impulse Formula
Impulse
Equation
As Physics
Formula Sheet
Impulse-
Momentum Theorem
Momentum Formula
with Force
Momentum Impulse
Worksheet
Impulse
Examples
Impulse
Vector
Impulse
Integral Formula
Impulse
Example Problems
Impulse Formula
Unit
Impulse-
Momentum Diagram
Momentum
Cartoon
Final Momentum
Formula
Momentum Formula
Triangle
Is Impulse
Change in Momentum
Constant Velocity
Formula
Momentum
Force-Time
Impulse
Equals
Linear Momentum
Conservation
Impulse Formula
IGCSE
Unit Impulse
Function
Momentum Units
Physics
Impulse
Collision Formula
Impulse
Definition
Impulse
Def
Impulse
a Level Physics
Impulse
Response
Impulse Formula
Calculus
Impulse
Solving
Rotational
Impulse
Angular Impulse
Dynamics
Action Potential Nerve
Impulse
Momentum
Symbol
Relativistic Momentum
Equation
Momentum
Meaning
What Is
Impulse Physics
Fluid Momentum
Equation
Angular Momentum
Principle
Nerve Impulse
Transmission
Angular Momentum Dimensional
Formula
Work and
Impulse Relationship
Impulse Formula
Momentum
Impulse
Force Formula
Momentum Formula
Physics
Equation for
Impulse Physics
1200×628
byjus.com
Impulse Formula with Examples
424×171
byjus.com
Impulse Formula with Examples
340×42
fity.club
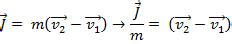
Impulse J Formula
709×532
fity.club
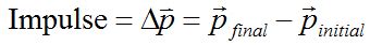
Impulse Formula Special Theory Of Relativity Prof. Shiva Prasad
Related Products
Impulse Formula Physics Book
Impulse Formula Poster
Impulse Formula Mug
344×175
calculator.academy
Impulse Calculator - Calculator Academy
1200×628
testbook.com
Impulse Formula: Know its Definition, Formula, Examples, FAQ's
658×495
Weebly
A Formula for Impulse
1500×1300
shutterstock.com
Impulse Formula On Green Chalkboard Education Stock …
350×142
fity.club
Impulse Examples
677×420
sciencefacts.net
Impulse: Definition, Formula, Examples, and Solved Problems
Impulse Force Diagram
See more results
Impulse Formula Examples
See more results
Impulse Formula and Momentum
See more results
350×90
fity.club
Impulse Definition
484×460
geeksforgeeks.org
What is Impulse? - GeeksforGeeks
474×446
nose-bleed-in-the-dog.blogspot.com
Impulse Dimensional Formula : Dimensions Of Physical Quantit…
638×359
slideshare.net
Impulse | PPTX | Physics | Science
551×227
hyperphysics.phy-astr.gsu.edu
Impulse of Force
1024×768
SlideServe
PPT - Impulse & Momentum PowerPoint Presentation, free download - ID ...
960×720
ar.inspiredpencil.com
Impulse Formula Physics
320×240
ar.inspiredpencil.com
Impulse Formula Physics
1080×1080
ar.inspiredpencil.com
Impulse Formula Physics
960×720
ar.inspiredpencil.com
Impulse Formula Physics
1280×720
ar.inspiredpencil.com
Impulse Formula Physics
1024×1024
physicscalculations.com
How to Calculate Impulse
1280×720
laneyrilralinar.blogspot.com
Impulse Meaning in Physics - Laneyrilralinar
960×540
ar.inspiredpencil.com
Impulse J Formula
1920×1080
captionscuteviralnyc.blogspot.com
Impulse Pictures - Captions Cute Viral
1200×675
examples.com
Unit 5.1 - Momentum and Impulse - (Notes & Practice Questions) - AP ...
Refine your search for
Impulse Formula
Response Definition
Momentum Theorem
Physics Grade 9
Circular Motion
Triangle
Dimensional
Physics
Change Momentum
Collision
Dirt Bike
Man Carriage
Plot
332×47
byjus.com
Is impulse change in momentum?
268×293
blogspot.com
Impulse: Calculations and Definitions | S…
1920×1080
fity.club
Impulse Momentum Theorem PPT Impulse & Momentum PowerPoint
750×489
byjus.com
What is the Unit of Impulse?
1280×720
prntbl.concejomunicipaldechinu.gov.co
Impulse Control Worksheets Adults - prntbl.concejomunicipaldechinu.gov.co
1280×720
prntbl.concejomunicipaldechinu.gov.co
Impulse Control Worksheets Adults - prntbl.concejomunicipaldechinu.gov.co
1200×898
prntbl.concejomunicipaldechinu.gov.co
Impulse Control Worksheets Adults - prntbl.concejomunici…
1620×1215
studypool.com
SOLUTION: Principle of linear impulse momentum - Studypool
6:40
study.com
Impulse in Physics | Definition, Formula & Examples
Some results have been hidden because they may be inaccessible to you.
Show inaccessible results
Report an inappropriate content
Please select one of the options below.
Not Relevant
Offensive
Adult
Child Sexual Abuse
Feedback